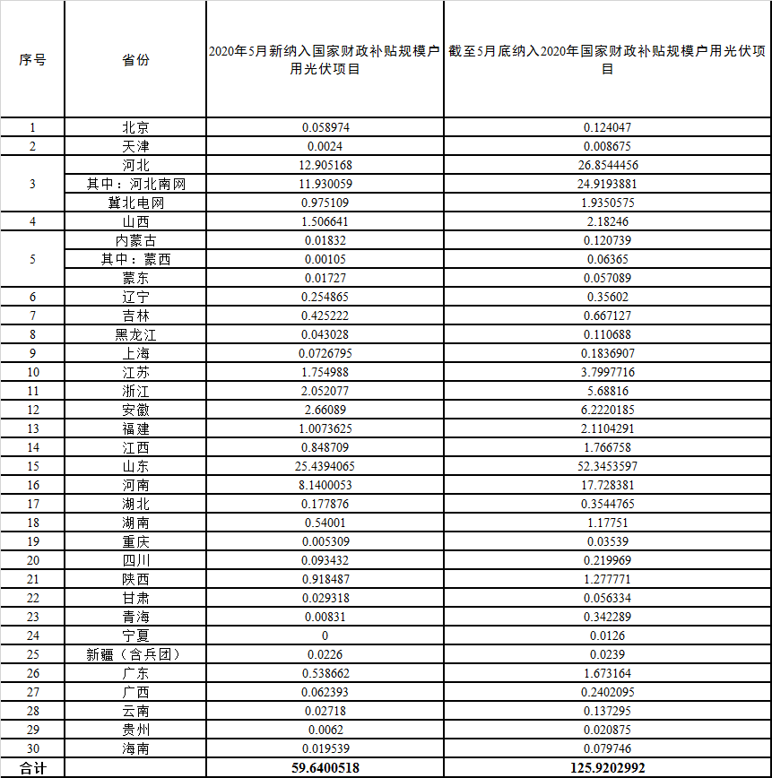
按照《國家能源局關于2020年風電、光伏發電項目建設有關事項的通知》(國能發新能〔2020〕17號)和《國家能源局綜合司關于2019年戶用光伏項目信息公布和報送有關事項的通知》(國能綜通新能〔2019〕45號)關于戶用光伏項目管理有關要求,全國共有30個省份報送了戶用光伏項目信息(西藏無納入2020年財政補貼規模戶用光伏項目,未報送)。
根據各省級能源主管部門、電網企業報送信息,經國家可再生能源信息管理中心梳理統計,2020年5月新納入國家財政補貼規模戶用光伏項目總裝機容量為59.64萬千瓦。截至2020年5月底,全國累計納入2020年國家財政補貼規模戶用光伏項目裝機容量為125.92萬千瓦。詳細情況見附表。
附表:納入2020年國家財政補貼規模戶用光伏項目裝機容量統計表(截至2020年5月31日)


|
序號 |
省份 |
2020年5月新納入國家財政補貼規模戶用光伏項目 |
截至5月底納入2020年國家財政補貼規模戶用光伏項目 |
|
1 |
北京 |
0.058974 |
0.124047 |
|
2 |
天津 |
0.0024 |
0.008675 |
|
3 |
河北 |
12.905168 |
26.8544456 |
|
其中:河北南網 |
11.930059 |
24.9193881 |
|
|
冀北電網 |
0.975109 |
1.9350575 |
|
|
4 |
山西 |
1.506641 |
2.18246 |
|
5 |
內蒙古 |
0.01832 |
0.120739 |
|
其中:蒙西 |
0.00105 |
0.06365 |
|
|
蒙東 |
0.01727 |
0.057089 |
|
|
6 |
遼寧 |
0.254865 |
0.35602 |
|
7 |
吉林 |
0.425222 |
0.667127 |
|
8 |
黑龍江 |
0.043028 |
0.110688 |
|
9 |
上海 |
0.0726795 |
0.1836907 |
|
10 |
江蘇 |
1.754988 |
3.7997716 |
|
11 |
浙江 |
2.052077 |
5.68816 |
|
12 |
安徽 |
2.66089 |
6.2220185 |
|
13 |
福建 |
1.0073625 |
2.1104291 |
|
14 |
江西 |
0.848709 |
1.766758 |
|
15 |
山東 |
25.4394065 |
52.3453597 |
|
16 |
河南 |
8.1400053 |
17.728381 |
|
17 |
湖北 |
0.177876 |
0.3544765 |
|
18 |
湖南 |
0.54001 |
1.17751 |
|
19 |
重慶 |
0.005309 |
0.03539 |
|
20 |
四川 |
0.093432 |
0.219969 |
|
21 |
陜西 |
0.918487 |
1.277771 |
|
22 |
甘肅 |
0.029318 |
0.056334 |
|
23 |
青海 |
0.00831 |
0.342289 |
|
24 |
寧夏 |
0 |
0.0126 |
|
25 |
新疆(含兵團) |
0.0226 |
0.0239 |
|
26 |
廣東 |
0.538662 |
1.673164 |
|
27 |
廣西 |
0.062393 |
0.2402095 |
28
云南
0.02718
0.137295
29
貴州
0.0062
0.020875
30
海南
0.019539
0.079746
合計
59.6400518
125.9202992